乐学资料
发布于 2026-02-09 / 9 阅读
0

期中测试卷

一、填空。(每空1分,共22分)

二、判断。(对的画“√”,错的画“×”。每小题1分,共5分)

三、选择。(将正确答案的字母填在括号里。每小题2分,共10分)

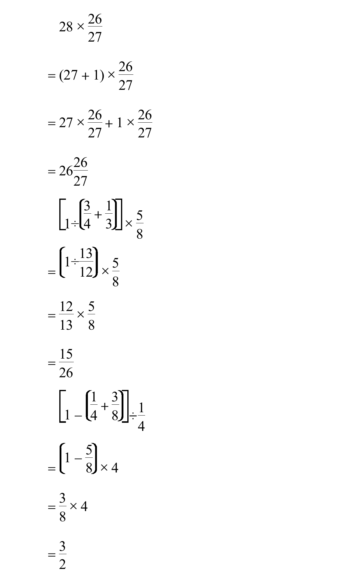
四、计算。(共33分)

五、动手操作。(共6分)

在下面的图中标出熊猫馆和猴山的位置。

1.熊猫馆在动物园大门东偏北30°方向上,距离是400 m。(3分)

2.猴山在动物园大门西偏南40°方向上,距离是300 m。(3分)

 

 

 

 六、解决问题。(共24分)   

参考答案