乐学资料
发布于 2026-02-09 / 11 阅读
0

期末测试卷

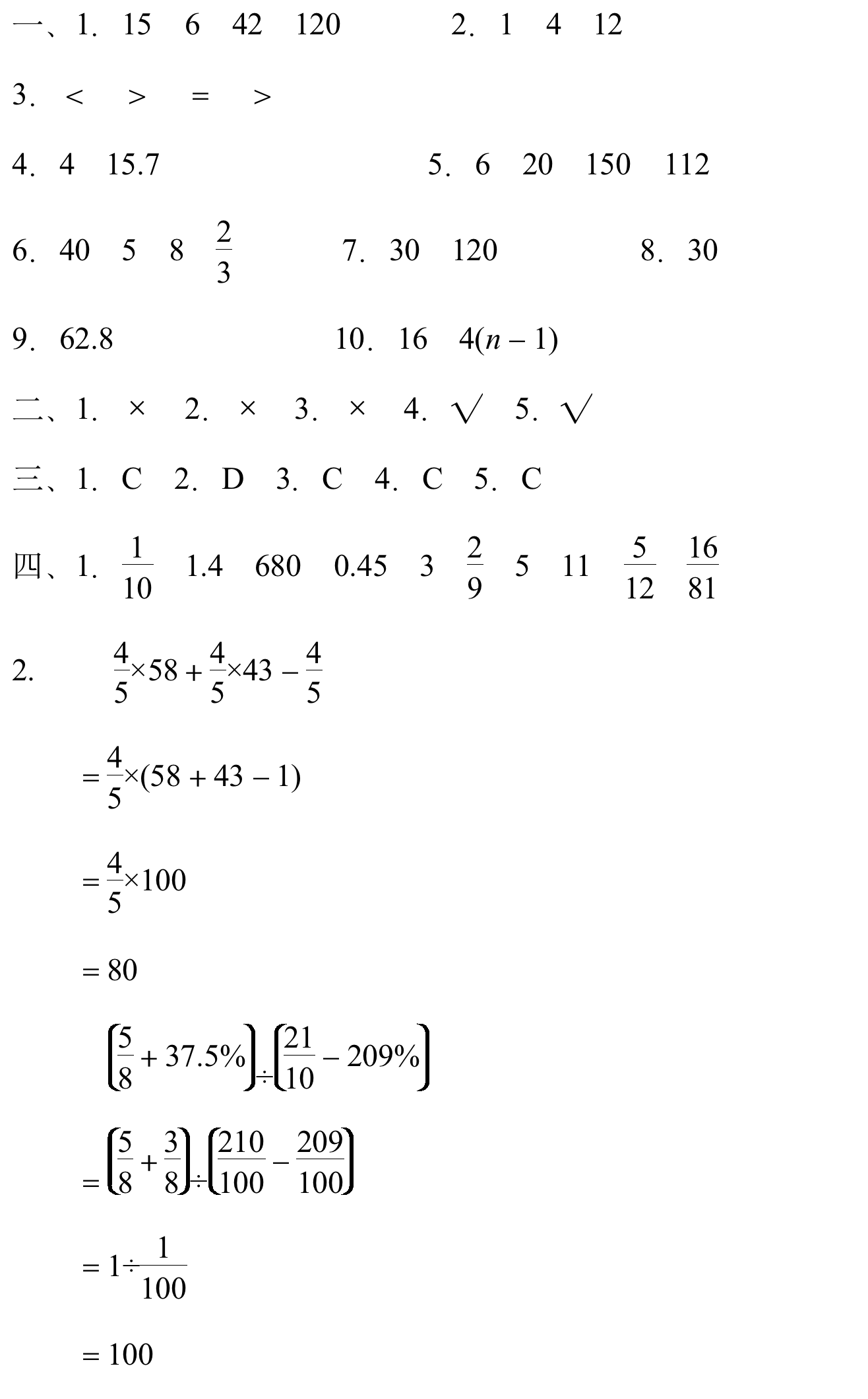
一、填空。(每空1分,共25分)

二、判断。(对的画“√”,错的画“×”。每小题1分,共5分)

三、选择。(将正确答案的字母填在括号里。每小题1分,共5分)

四、计算。(共31分)

五、动手操作。(共6分)

六、解决问题。(共28分)

参考答案