一、填空题。(1题5分,2,7,10题每空0.5分,其余每空1分,共27分)
1.
2.在括号里填上适当的分数。
15分=( )时 65 dm2=( )m2
4500 mL=( )dm3 0.85 m3=( )m3
3.
4.把5千克糖果平均分给四个班的小朋友,平均每个班分得这些糖果的( ),每个班分得糖果( )千克。
5.书法小组有男生16人,女生12人,女生人数是男生人数的( ),男生人数是书法小组总人数的( )。
6.分数单位是10(1)的最大真分数是( ),最小假分数是( ),最小带分数是( )。
7.在○里填上“>”“<”或“=”。

8.
的分子和分母的最大公因数是( ),化成最简分数是( )。
9.A和B是相邻的两个自然数,它们的最大公因数是( ),最小公倍数是( )。
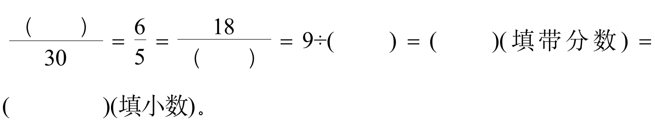
10.
化成假分数是( ),它的分数单位是( ),它有( )个这样的分数单位,把它化成小数是( )。
二、判断题。(每题1分,共5分)
1.分数的分母不同就是分数单位不同。 ( )
2.带分数比假分数大。 ( )
3.分数的分子分母同时加上一个相同的数,分数的大小不变。 ( )
4.
( )
5.两个数的公倍数是它们最小公倍数的倍数。 ( )
三、选择题。(每题1分,共5分)
1.两个分数的分子相同,则这两个分数( )。
A.大小相同 B.分数单位相同
C.所含分数单位的个数相同 D.意义相同
2.用分数表示图中的涂色部分是( )。

3.两根同样长的铁丝,从第一根上截去它的
,从第二根上截去
米。余下的部分相比较,( )。
A.第一根长 B.第二根长
C.长度相等 D.不能确定
4.下列分数中,( )能化成有限小数。

5.两根绳子,一根长80分米,另一根长96分米,要把这两根绳子剪成同样长的小段,每段最长( )分米,一共可以剪( )段,正确答案是( )。
A.1,176 B.8,22
C.16,11 D.80,2
四、按要求解题。(1题5分,2题8分,3题6分,4题4分,共23分)

五、李、张、丁三位师傅加工同一种零件,李师傅3小时加工13个,张师傅4小时加工17个,丁师傅5小时加工21个。哪位师傅加工这种零件的工作效率最高?(5分)
六、三位同学商定暑假去体育馆训练踢足球,小峰说:“我每4天去一次。”小亮说:“我每8天去一次。”小勇说:“我每6天去一次。”如果三人7月10日同时去体育馆踢球,那么至少再过多少天,他们中有两人会在体育馆相遇?(5分)
七、按要求填数。(每题2分,共6分)

八、解决问题。(每题6分,共24分)
1.学校足球社团有高、中、低三个组,高级组有32人,比中级组多4人,比低级组少4人。中级组的人数是高级组的几分之几?低级组的人数占足球社团总人数的几分之几?
2.小明和爷爷、爸爸、妈妈一起吃3块月饼,若平均分,则每个人分得这些月饼的几分之几?每个人分得多少块月饼?
3.(变式题)五(3)班同学分成若干小组去春游,老师把36袋饼干和48瓶矿泉水平均分给各个小组,刚好分完。同学们最多分成几个小组?每个小组分多少袋饼干?多少瓶矿泉水?
4.(变式题)五(1)班同学分组踢毽子,不管是分成6人一组,还是8人一组,都多4人。五(1)班人数在50~60之间,五(1)班有学生多少人?
参考答案


