乐学资料
一年级
一年级语文上册(人教)
一年级数学上册(人教)
一年级语文下册(人教)
一年级数学下册(人教)
二年级
二年级语文上册(人教)
二年级数学上册(人教)
二年级语文下册(人教)
二年级数学下册(人教)
三年级
三年级语文上册(人教)
三年级数学上册(人教)
三年级语文下册(人教)
三年级数学下册(人教)
四年级
四年级语文上册(人教)
四年级数学上册(人教)
四年级语文下册(人教)
四年级数学下册(人教)
五年级
五年级语文上册(人教)
五年级数学上册(人教)
五年级语文下册(人教)
五年级数学下册(人教)
六年级
六年级语文上册(人教)
六年级数学上册(人教)
六年级语文下册(人教)
六年级数学下册(人教)
小学奥数
幼小衔接
登录
菜单
一年级
一年级语文上册(人教)
一年级数学上册(人教)
一年级语文下册(人教)
一年级数学下册(人教)
二年级
二年级语文上册(人教)
二年级数学上册(人教)
二年级语文下册(人教)
二年级数学下册(人教)
三年级
三年级语文上册(人教)
三年级数学上册(人教)
三年级语文下册(人教)
三年级数学下册(人教)
四年级
四年级语文上册(人教)
四年级数学上册(人教)
四年级语文下册(人教)
四年级数学下册(人教)
五年级
五年级语文上册(人教)
五年级数学上册(人教)
五年级语文下册(人教)
五年级数学下册(人教)
六年级
六年级语文上册(人教)
六年级数学上册(人教)
六年级语文下册(人教)
六年级数学下册(人教)
小学奥数
幼小衔接
乐学资料
发布于 2026-03-13
/
3 阅读
0
分享
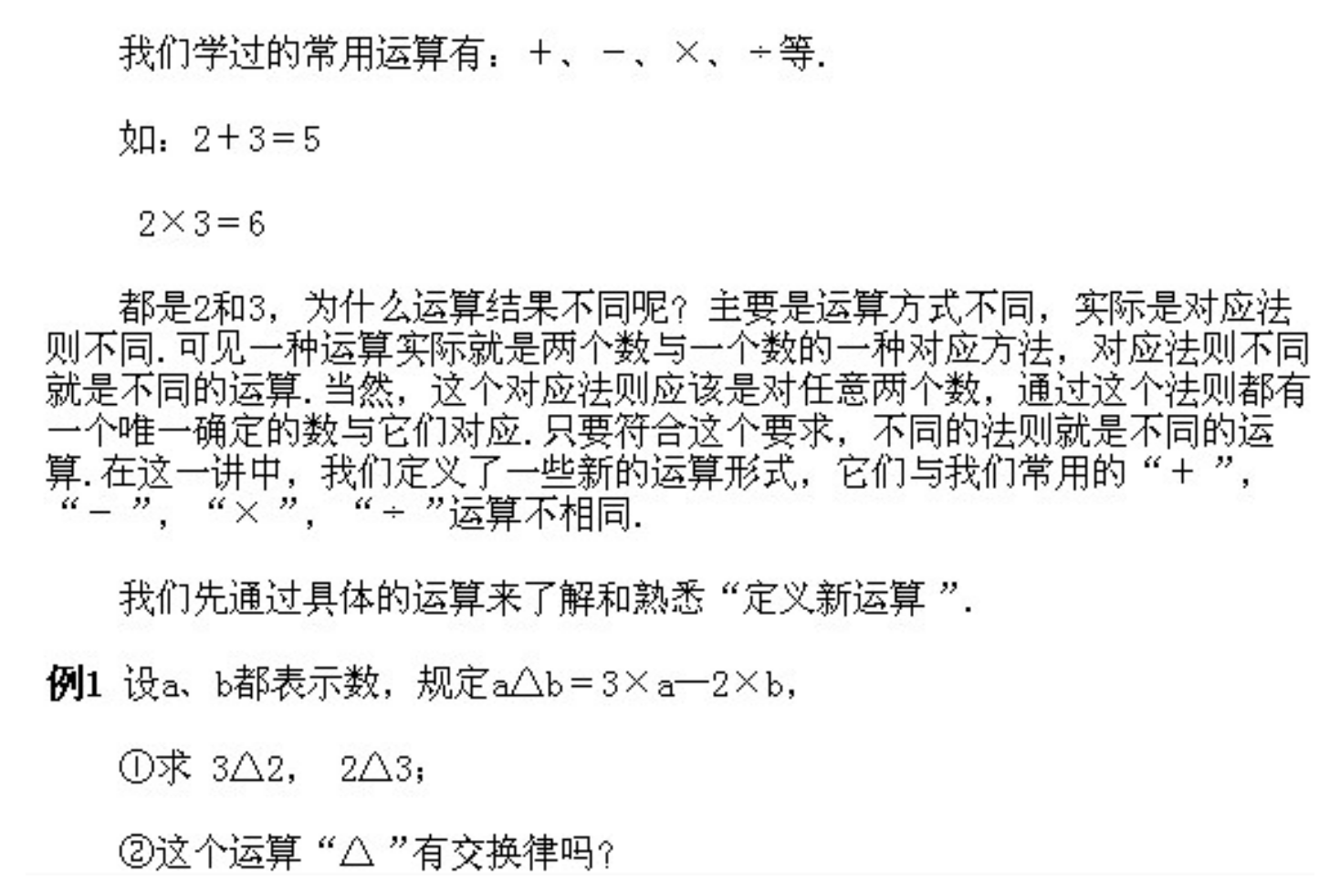
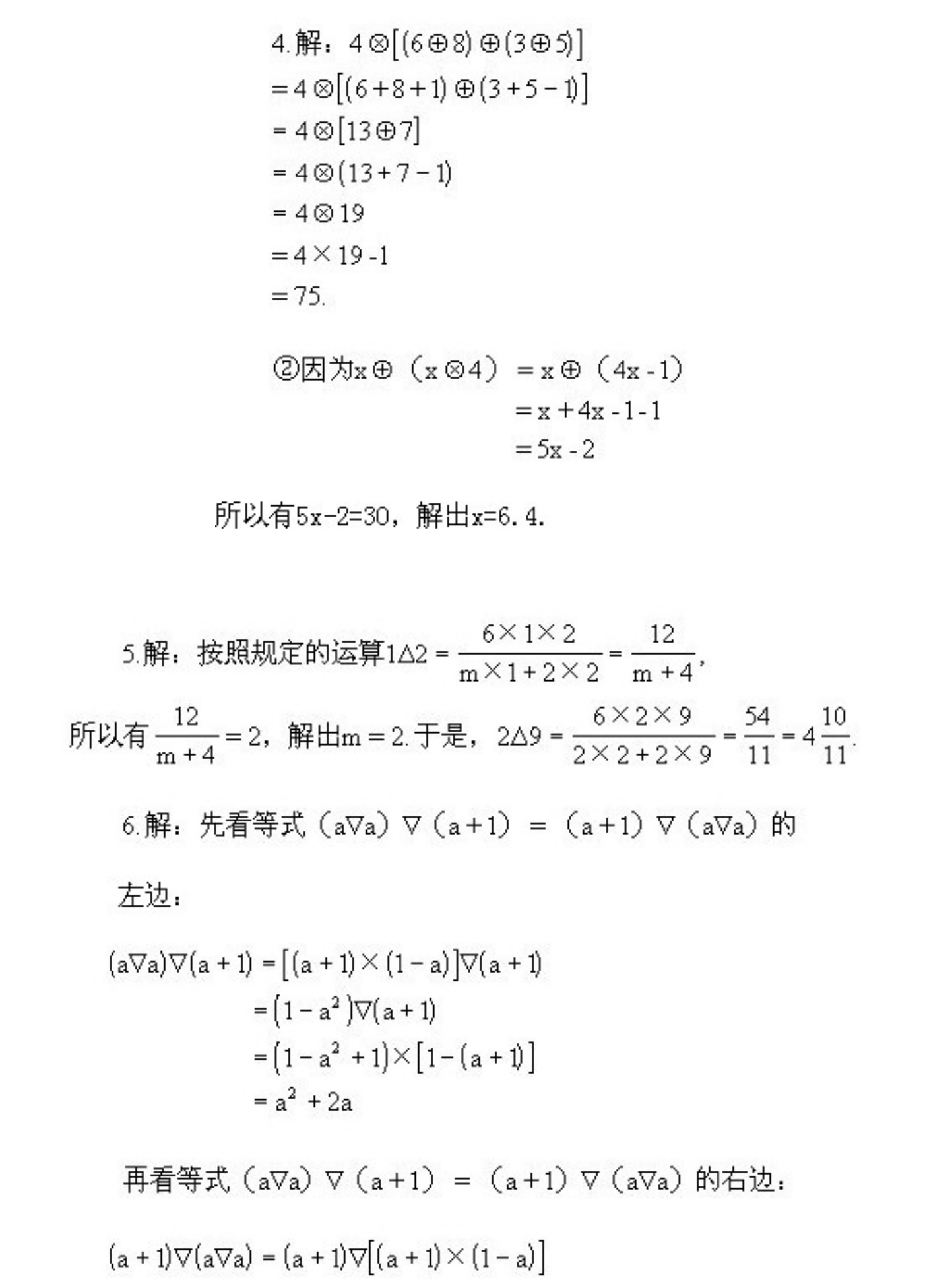
四年级上册奥数第3课《定义新运算》&试题
四年级上册奥数第4课《等差数列及其...
四年级上册奥数第2课《速算与巧算2...