乐学资料
发布于 2026-02-04 / 4 阅读
0

第一单元测试卷

一、填一填。(每空1分,共21分)

二、辨一辨。(对的在括号里画“√”,错的画“×”)(每题1分,共5分)

三、选一选。(把正确答案的字母填在括号里)(每题2分,共10分)

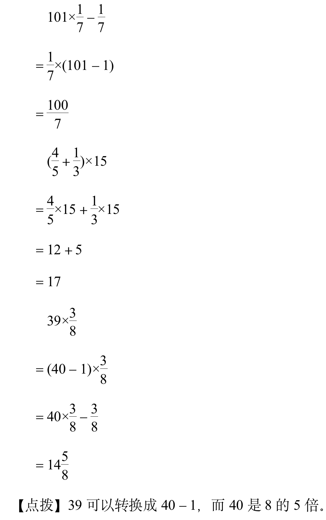
四、计算挑战。(共26分)

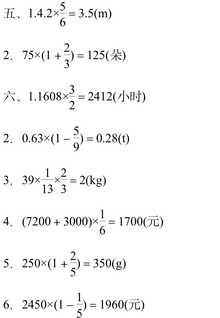
五、看图列式计算。(每题4分,共8分)

六、解决问题。(每题5分,共30分)

参考答案