乐学资料
发布于 2026-02-04 / 12 阅读
0

第三单元测试卷

一、填一填。(每空 1 分,共 22 分)

二、辨一辨。(对的在括号里画“√”,错的画“×”)(每题 1 分,共 5 分)

三、选一选。(把正确答案的字母填在括号里)(每题 1 分,共 5 分)

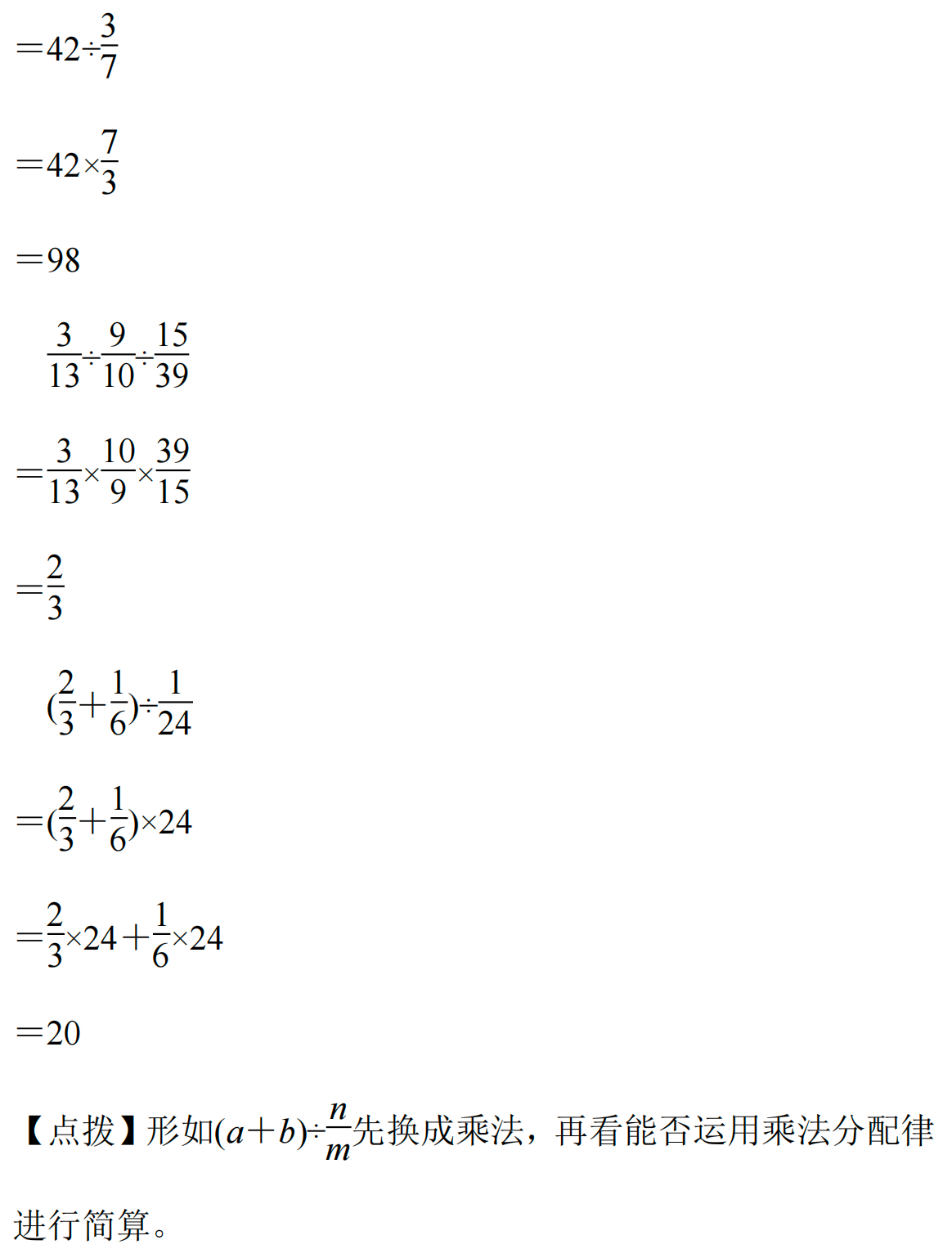
四、计算挑战。(共 35 分)

1.直接写出得数。(每题 1 分,共 8 分)

五、看图列式计算。(每题 4 分,共 8 分)

六、解决问题。(每题 5 分,共 25 分)

参考答案